技术文章
Technical articles
更新时间:2021-12-26
点击次数:3251
莲仁是一种传统的保健食品,含蛋白质、维生素、铁、钙等对人身体有利的营养成分,是目前月饼和八 宝粥等食品的主要原料。莲仁的主要成分为淀粉,干燥之后呈脆性,在挤压载荷的作用下,容易引起莲仁损伤破碎。莲仁的损伤破碎,既影响莲仁的加工品质,同时也增加莲仁的加工损耗,对莲子加工企业的经济效益有较大影响。
通过质构仪对莲仁样品进行挤压测试,来测定莲仁样品的弹性模量和抗挤压强度,从而对莲仁的力学特性进行测定。
1 样品准备
先将莲仁样品沿莲仁分型面分成2瓣,再用砂轮将其磨成长方体,然后用砂纸将表面磨平,形成等截面的长方体试样,如下图所示。 试样长度 6.5~7 mm,宽度 3.0~3.5 mm,厚度 2.5~3.0 mm。试样分为纵向(长度方向平行于莲仁轴线)和横向(长度方向垂直于莲仁轴线)2种。
2仪器测定
仪器:Universal TA质构仪
探头:P/36柱形探头

将制备好的莲仁样品放于柱形探头的正下方中,测试条件设置如下
测试模式:压缩
测试前速度:2mm/s
测试速度:1mm/s
测试后速度:5mm/s
触发力:6g
目标模式:形变 80%
3 结果分析
1)弹性模量
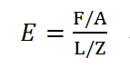
弹性模量即为试验样本在压缩载荷下应力-应变关系曲线上的斜率,公式如下:

式中 E 为莲仁弹性模量,MPa;F为压力,N;A为样本截面面积,mm2;L为试验过程样本压缩变形量,mm;Z为试验前样本长度,mm。
2)抗挤压强度
抗挤压强度为试验样本在压缩载荷下产生破坏时的极限应力,其计算公式为

式中Q为莲仁抗压强度,MPa;Fmax为压缩大破坏力,N。