技术文章
Technical articles
更新时间:2025-06-16
点击次数:395
近日,浙江大学生物系统工程与食品科学学院研究人员在国际期刊《International Journal of Biological Macromolecules》(中科院二区,IF=7.7)发表了题为"Stable cytoactivity of piscine satellite cells in rice bran-gelatin hydrogel scaffold of cultured meat"的研究论文。在该论文中,研究人员利用上海腾拔Universal TA质构仪用于测定米糠-明胶水凝胶的硬度。
为了在培养肉用支架上实现高细胞粘附和生长效率,动物材料(尤其是明胶)是必需的,尽管其水凝胶支架在细胞培养过程中存在机械性能弱和稳定性差的缺点。在此,我们使用米糠作为一种填充和支撑材料,与明胶开发用于鱼类细胞培养的复合支架,其中米糠是产量高、成本低的纤维状农业副产品。米糠(与明胶的比例为 1、3、5、7、10:3)可均匀分布在明胶水凝胶构成的三维网络中,有助于延缓溶胀和降解速率、固定水分并提高弹性模量。重要的是,与纯明胶水凝胶相比,米糠 - 明胶水凝胶支架(尤其是含 70% 米糠的水凝胶,db)能有效促进鱼类卫星细胞(PSCs)的增殖,且前者还能支持 PSCs 的分化。总体而言,这项工作为探索农业副产品等新型支架材料来源以降低细胞培养肉的生产成本提供了积极推动。
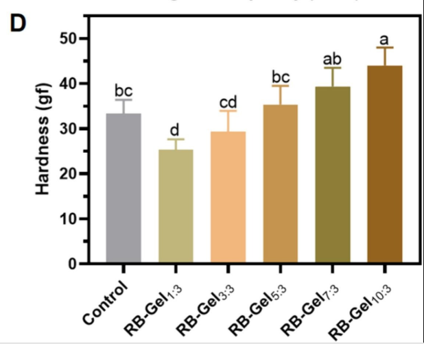
基于质构剖面分析(TPA)的硬度结果(图 3D)可得出,在米糠 - 明胶(RB-Gel)各组中,米糠含量越高,水凝胶的硬度越大。然而,RB-Gel5:3 组的硬度与对照组(不含米糠)相近。这可能是由于低米糠含量时凝胶网络的连续性被破坏。当米糠含量较高时,米糠中含有的纤维成分起主导作用,表现为硬度的增加。

参考文献:Qipu Xin et al. Stable cytoactivity of piscine satellite cells in rice bran-gelatin hydrogel scaffold of cultured meat. International Journal of Biological Macromolecules, 2024